RePro团队 投稿
量子位 | 公众号 QbitAI
近年来,随着o1、DeepSeek-R1等模型的爆发,Long Chain-of-Thought(Long CoT)已成为提升LLM复杂推理能力的标配。
然而,“长思考”并非总是完美的。我们常发现模型会陷入 “过度思考”(Overthinking)的陷阱:为了得出一个简单的结论,模型可能会生成数千个冗余Token,甚至在错误的路径上反复横跳(Backtracking)。这不仅浪费了宝贵的算力,还增加了推理延迟。
如何让模型在“深思熟虑”的同时,保持“思维敏捷”?
近日,上海人工智能实验室的研究团队提出了一种全新的后训练范式——RePro(Rectifying Process-level Reward)。
这篇论文将推理的过程视为模型内部状态的优化过程,从而对如何重塑大模型的CoT提供了一个全新视角:
核心观察:推理即优化
RePro基于这样一个核心思想:将模型的推理轨迹(Trajectory)看作是在损失曲面上寻找最优解的路径。
每一个推理步骤(Step),都相当于一次梯度更新。 优化的目标,是最大化生成正确答案(Ground Truth)的概率。
在这个视角下,什么是“好的推理”?有效更新:每一步都能显著提升模型对正确答案的信心(Loss下降)。 稳定收敛:推理方向坚定,不反复横跳,不震荡。
反之,什么是“过度思考”?陷入鞍点:生成了大量Token,但对正确答案的概率贡献微乎其微。 梯度震荡:思路混乱,信心忽高忽低。
RePro的三大“矫正”机制
基于上述视角,RePro设计了一套过程奖励机制,直接嵌入到RLVR(如PPO,GRPO)流程中。
1. 代理目标函数J
RePro设计了一个可计算的“目标函数J”,用于量化模型当前的置信度。具体来说:
模型在当前推理上下文下,生成正确答案各个token的平均对数概率。
![图片[1]-让大模型不再过度思考!上海AI Lab后训练新范式重塑CoT,推理又快又好-AI Express News](https://www.aiexpress.news/wp-content/uploads/2025/12/20251221205853323-1766321933-8d9f5e76adc5f239f81181f5338c0a71-scaled.jpeg)
直觉解释:
当模型还没开始思考时,直接猜出答案的概率很低,J̃很小。 随着模型一步步推理,排除错误选项,锁定逻辑链路,模型对最终答案的信心应该越来越强,J̃应该逐渐增大。 当模型完成推理得出结论时,J̃应该达到峰值。
这个指标越高,说明模型越“自信”答案正确,是一个合理的优化代理指标。
![图片[2]-让大模型不再过度思考!上海AI Lab后训练新范式重塑CoT,推理又快又好-AI Express News](https://www.aiexpress.news/wp-content/uploads/2025/12/20251221205855557-1766321935-690d3e2cdaf9f4b04dfc4faa0e8b163b.png)
团队发现,正确的推理路径上,J̃会平稳上升,而“胡思乱想”的路径则震荡或停滞。
2. 双重评分机制:优化强度+稳定性
为了量化推理质量,RePro将J̃的变化拆解为两个维度:
基于代理目标函数,REPRO将推理矫正形式化为:在推理轨迹上最大化目标函数J̃的增长速率与增长平滑性的双重优化问题。
相较于传统强化学习仅关注最终结果(Outcome Reward)的稀疏反馈机制,REPRO引入了过程感知的轨迹优化范式:
强度不足(如梯度消失或步长过小)对应增长速率惩罚
稳定性差(如优化振荡)对应平滑性惩罚
高效下降则同时满足高增长率与高稳定性,获得正向激励
该方法鼓励模型生成逻辑连贯且语义收敛的推理链。
![图片[3]-让大模型不再过度思考!上海AI Lab后训练新范式重塑CoT,推理又快又好-AI Express News](https://www.aiexpress.news/wp-content/uploads/2025/12/20251221205856896-1766321936-4e036e688b71e68e81a70c01480618f4.png)
基于J序列,RePro引入了两个评分:
Magnitude Score(强度评分):衡量目标函数的提升幅度
强度评分Smagn旨在回答一个问题:这一段思考,到底让模型离答案近了多少
在优化理论中,梯度的大小决定了下降的快慢。在推理中,这意味着一段有效的CoT应该显著提升模型对答案的信心。REPRO通过比较当前步骤后的目标函数值J̃与基线值J̅(即不进行任何思考直接回答的信心)来计算这一增益。
![图片[5]-让大模型不再过度思考!上海AI Lab后训练新范式重塑CoT,推理又快又好-AI Express News](https://www.aiexpress.news/wp-content/uploads/2025/12/20251221205857611-1766321937-8036b9ab4c7be5869191a59f31c7d1cd.jpeg)
其中,Δ代表相对增益:![图片[6]-让大模型不再过度思考!上海AI Lab后训练新范式重塑CoT,推理又快又好-AI Express News](https://www.aiexpress.news/wp-content/uploads/2025/12/20251221205858177-1766321938-c1024914f68c61c97428c90380081d66.jpeg)
这里使用tanh函数的目的是将分数归一化到(0,1]区间。在实际训练中,某些步骤可能会导致对答案的信心指数级暴涨(例如终于算出了关键中间变量),如果不加限制,这种巨大的奖励信号可能会导致梯度爆炸或训练不稳定。
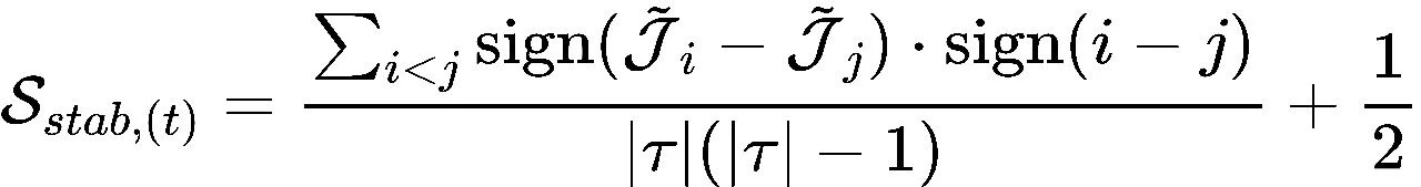
Stability Score(稳定性评分):衡量J是否平滑上升
稳定性评分Sstab旨在回答另一个问题:这段思考的过程是顺畅的,还是充满了犹豫和反复?
如果将J̃的变化看作一条曲线,理想的推理应该是一条单调上升的曲线。如果曲线上下波动,说明模型陷入了自我怀疑或逻辑混乱。为了量化这种“波动”,RePro利用了Kendall’s Tau相关系数。
![图片[7]-让大模型不再过度思考!上海AI Lab后训练新范式重塑CoT,推理又快又好-AI Express News](https://www.aiexpress.news/wp-content/uploads/2025/12/20251221205858611-1766321938-10fb4e9c486cd8cfcfceb7445a828360.jpeg)
这一公式计算的是J̃值序列与时间步序列{1,…,t}之间的秩相关性。
高稳定性(接近1):每一步的J̃值都比前一步高,这表明模型每一步都在进步,没有回撤。这对应于优化过程中沿着最速下降方向的平滑移动。
低稳定性(接近0或负值):序列杂乱无章,进两步退一步,甚至出现严重的逻辑倒退。这对应于模型在鞍点附近的随机摆动,消耗了步数(Token)但未取得实质进展。
Magnitude Score和Stability Score两者加权构成最终过程评分S,可用于判断某段思维路径是否值得强化或惩罚。
3. 流程级奖励整合进RL训练
![图片[8]-让大模型不再过度思考!上海AI Lab后训练新范式重塑CoT,推理又快又好-AI Express News](https://www.aiexpress.news/wp-content/uploads/2025/12/20251221205859240-1766321939-0c336906f5b97f67ed084cfa1e5dfa51.png)
直接为每个token打分代价太高,于是RePro采用熵值筛选策略:
分段:将推理链按逻辑段落(如换行符nn)分割为{c1, c2,…, cN}。
熵计算:计算每个段落首Token的熵ℋ(ci,(0))。
Top-k筛选:只选择熵最高的前k个段落(Top-k Segments)进行REPRO奖励计算。
这种策略不仅大幅降低了计算开销(从全序列计算变为只计算k个点),还起到了“好钢用在刀刃上”的效果——只在模型最迷茫、最关键的时刻给予指引,而在其自信流畅的时刻(低熵区域)保持静默,避免过度干预。
然后,通过计算过程评分的提升量ΔS,作为这一片段的“过程级奖励”,与最终正确与否结合,作为RL的优势函数输入。
这种方法既高效又精准,能引导模型在关键决策点生成更优推理。
实验:不只更准,而且更“省”
RePro在数学、科学、编程等多个任务上进行了广泛实测,包括:
AIME24 / AIME25 / MATH500(数学推理)
GPQA-Diamond(科学问答)
MBPP / LiveCodeBench(代码生成)
并在以下模型上进行训练测试:
DeepSeek-R1-Distill-Qwen-1.5B
Qwen3-1.7B / 8B
Hunyuan-Instruct 等
在所有RL算法(PPO、REINFORCE++、GRPO)下,RePro都带来了稳定提升。
| 模型架构 | RL算法 | AIME24(Pass@1) | AIME25(Pass@1) | MATH500(Pass@1) |
| DeepSeek-R1-Distill-1.5B | Original | 30.6% | 24.8% | 84.4% |
| PPO | 34.8% | 24.4% | 86.9% | |
| PPO+REPRO | 36.3%(+1.5) | 27.7%(+3.3) | 87.7%(+0.8) | |
| GRPO | 32.9% | 25.3% | 86.0% | |
| GRPO+REPRO | 36.0%(+3.1) | 26.5%(+1.2) | 87.1%(+1.1) | |
| Qwen3-1.7B | Original | 46.8% | 36.1% | 93.0% |
| GRPO | 47.3% | 34.8% | 93.4% | |
| GRPO+EPRO | 49.8%(+2.5) | 37.9%(+3.1) | 94.1%(+0.7) |
并且,这种改进不仅出现在数学任务,在科学和代码任务上也有类似表现,表明RePro具备良好的泛化能力。
| 领域 | 基准测试 | 基线(GRPO) | GRPO+REPRO | 绝对提升 |
| 科学推理 | GPQA-Diamond | 34.5% | 37.0% | +2.5% |
| 代码推理 | MBPP | 62.5% | 65.4% | +2.9% |
| 代码推理 | LiveCodeBench | 15.2% | 18.4% | +3.2% |
除了准确率,它还提升了哪些关键指标?
推理token数量显著减少
随着训练进行,RePro模型生成的平均token数量稳步下降:
![图片[10]-让大模型不再过度思考!上海AI Lab后训练新范式重塑CoT,推理又快又好-AI Express News](https://www.aiexpress.news/wp-content/uploads/2025/12/20251221205901255-1766321941-7903be226e015ae797d630f0e032b3a0.png)
这意味着模型学会了少说废话,在更短的路径内给出更准的答案。
回溯行为(Backtracking)减少
Re+Pro模型在推理过程中出现的“反复检查”或“思路绕圈子”的比例显著下降。
![图片[12]-让大模型不再过度思考!上海AI Lab后训练新范式重塑CoT,推理又快又好-AI Express News](https://www.aiexpress.news/wp-content/uploads/2025/12/20251221205902530-1766321942-1ebb2bcc5cf50ce947d83fabb78a71b8.png)
简明扼要的推理才是好推理
RePro的成功证明了:更好的推理不一定需要更长的CoT,而是需要更“有效”的优化路径。
通过将Optimization Lens(优化视角)引入后训练阶段,RePro为解决Long CoT的效率瓶颈提供了一个优雅且通用的解法。它告诉大模型:不仅要算对,还要算得漂亮。
论文:https://arxiv.org/abs/2512.01925
Github:https://github.com/open-compass/RePro
一键三连「点赞」「转发」「小心心」
欢迎在评论区留下你的想法!
— 完 —
原文链接:https://mp.weixin.qq.com/s/enmehwRw_VobetRfxmHtZg


















暂无评论内容