![图片[1]-Qwen3.5-Flash来袭!三款中等规模模型开源-AI Express News](https://www.aiexpress.news/wp-content/uploads/2026/02/20260226015856779-1772042336-acec3bc52ce54ebbf5d18d8b33451ce0-768x1024.jpg)
![图片[2]-Qwen3.5-Flash来袭!三款中等规模模型开源-AI Express News](https://www.aiexpress.news/wp-content/uploads/2026/02/20260226015859363-1772042339-c68a39b4823c733e5ed39bc4dbbbaae1-1024x717.jpg)
![图片[3]-Qwen3.5-Flash来袭!三款中等规模模型开源-AI Express News](https://www.aiexpress.news/wp-content/uploads/2026/02/20260226015902310-1772042342-67c3bd1869a093c606361348a13e822e-769x1024.jpg)
今天,我们正式开源千问3.5最新中等规模模型:Qwen3.5-35B-A3B 、Qwen3.5-122B -A10B 、Qwen3.5-27B。
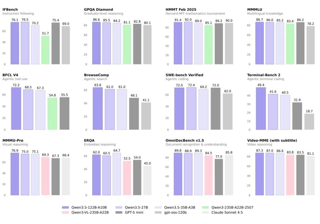
Qwen3.5-35B-A3B 的表现已超越前代更大规模模型Qwen3-235B-A22B-2507 及 Qwen3-VL-235B-A22B,而Qwen3.5-122B-A10B 与 27B 版本进一步缩小了中等规模模型与前沿模型的差距,尤其在复杂代理场景中表现优异。这表明性能超越规模,不再单纯依赖参数堆叠,而是通过架构优化、数据质量提升及强化学习推动智能发展。
🚀 架构进化,性能突破:
Qwen3.5采用混合注意力机制,结合高稀疏的MoE架构创新,并基于更大规模的文本和视觉混合Token上训练,Qwen3.5-122B-A10B与Qwen3.5-35B-A3B以更小的总参数和激活参数量,实现了更大的性能提升。
在指令遵循(IFBench)、博士级别推理(GPQA)、数学推理(HMMT 25)、多语言知识(MMMLU)、Agent工具调用(BFCL v4)、Agentic Coding(SWE-bench Verified)等多个权威榜单上,新模型均超越了远大于其规模的Qwen3-235B-A22B模型及Qwen3-VL,以及GPT-5 mini、gpt-oss-120b等模型。
🛠️ 开发者友好,适合本地部署:
Qwen3.5的首个密集(Dense)模型Qwen3.5-27B此次惊艳亮相,拥有更强的Agent能力和原生多模态能力。
在工具调用、搜索、编程等多个Agent评测中,Qwen3.5-27B均超过了GPT-5 mini,在视觉推理、文本识别和理解、视频推理等多项视觉理解榜单中,超过了Qwen3-VL旗舰模型和Claude Sonnet 4.5。Qwen3.5-27B可运行于单个GPU,对于本地部署极为友好。
🔧Qwen3.5-Flash(Qwen3.5-35B-A3B 生产版本)API服务 :
✨Qwen3.5-Flash在阿里云百炼上线,每百万Token价格低至0.2元,性能强,速度快,适合开发者和企业的规模化、生产级的模型需求。
✨默认支持 1M 超长上下文长度,满足长文档与复杂任务处理需求。
✨官方内置工具支持,降低集成成本,加速应用落地。
目前,3款模型均已在魔搭社区、Hugging Face开源上线,同时,我们还一并开源了Qwen3.5-35B-A3B-Base基座模型。开发者可前往Qwen Chat免费体验新模型,或通过阿里云百炼获取Qwen3.5-Flash模型API服务。
原文链接:https://mp.weixin.qq.com/s/cBA0ssG3YvA1pL6KtIo1gA?scene=1















暂无评论内容