![图片[1]-瑞典物理学家最新研究:宇宙的本源竟是意识与觉知,唯心主义才是真理?(论文翻译)-AI Express News](https://www.aiexpress.news/wp-content/uploads/2026/01/20260112004116591-1768149676-daa072eba1ddcaa7fb1b007756626cf2.jpeg)
“Universal consciousness as foundational field:
A theoretical bridge between quantum physics and non-dual philosophy"
![图片[2]-瑞典物理学家最新研究:宇宙的本源竟是意识与觉知,唯心主义才是真理?(论文翻译)-AI Express News](https://www.aiexpress.news/wp-content/uploads/2026/01/20260112004116696-1768149676-660cd711776994f96d98c9b891bb4205.png)
宇宙意识作为基础场:
连接量子物理学与非二元哲学的理论桥梁
译者按:圣诞假期闲下来译了这篇一直非常喜欢的数学-哲学-灵性-物理的跨界论文。作者玛丽亚·斯特罗姆(Maria Strømme),1970 年 4 月 7 日生,是一位挪威物理学家,目前在瑞典生活和工作。她于2004年成为瑞典乌普萨拉大学纳米技术教授(也因此成为瑞典最年轻的理工科教授),并在2002年至2007年间被选为瑞典皇家科学院院士。她也同时是以下北欧三院院士:瑞典皇家工程科学院院士、挪威技术科学院院士和挪威科学与文学院院士。本文于2025年11月13日发表在美国物理学会(AIP)期刊上,轰动一时。欧美的物理学者中热衷、关注灵性科学者众矣。译者有幸认识作者的一位学生,本文即是她推荐给我,读完为之一振。
本文是一篇跨学科论文,作者的主要研究方向是纳米技术,但长期关注意识研究与灵性传统,文中亦可见一斑。需要强调的是,本文目前只是提出了一个新的数学框架,并非在既有意识研究或物理学主流范式中给出结论性答案,虽然提出了实验验证方向,但因上个月才发表,也暂无实验数据验证。它的核心工作在于提出一个形式化的模型设想:将意识视为宇宙的基本场,并通过对称性破缺、量子涨落与态选择等机制,描述从“普遍的宇宙意识”到个体经验、从无时间潜能到时空结构(也即我们身处其中的宇宙史)的可能生成路径。它试图用数学的语言和物理学的方式说明一个古老的灵性洞见:个体意识彼此分离的表象乃是一种幻象,一切经验最终皆源自一个统一、无形的基底。因此本文更像一份研究提案(theoretical proposal)或概念脚手架(conceptual scaffold),而非定论性的科学成果。
我取的题目是标题党,唯物与唯心的抵牾是幽默的,是一个老掉牙的笑话,不是严肃的。本译文为英文论文之中文译介版本,仅包含正文内容,未收入补充材料(Supplementary Material)与参考文献。对其中理论路径或技术细节感兴趣的读者,请查阅以下AIP期刊英文原本,并可下载PDF:
Universal consciousness as foundational field: A theoretical bridge between quantum physics and non-dual philosophy
https://pubs.aip.org/aip/adv/article/15/11/115319/3372193/Universal-consciousness-as-foundational-field-A?searchresult=1
![图片[3]-瑞典物理学家最新研究:宇宙的本源竟是意识与觉知,唯心主义才是真理?(论文翻译)-AI Express News](https://www.aiexpress.news/wp-content/uploads/2026/01/20260112004117768-1768149677-b182f4d931e446ba9eff7e918d8e4989.jpeg)
摘要(Abstract)
意识的本性及其与物理实在之间的关系,始终是科学与哲学中最为深刻的问题之一。
本文提出一种新的理论框架,试图将意识纳入基础物理学的结构之中,主张意识并非神经过程的涌现属性,而是现实本身的根本维度。
在量子场论与非二元哲学的思想启发下,本文引入一个由普遍心智(universal mind)、普遍意识(universal consciousness)与普遍思(universal thought)构成的三原则模型。三者分别指向:一种无形而根源性的智能(心智),意识之为觉知能力的普遍维度(意识),以及经验与差异化得以生成的动态机制(思)。
在该框架中,时空与个体意识的出现被数学化地刻画为:将普遍意识视为一种基本场。个体经验的分化通过对称性破缺、量子涨落与离散态选择等机制发生,其思想内涵与物理学中若干重要概念相呼应,例如玻姆的“隐含序”、海森堡的“潜能态”,以及惠勒所提出的“参与式宇宙”。
该模型表明:个体意识彼此分离的表象乃是一种幻象,一切经验最终皆源自一个统一、无形的基底。此一立场与当前量子引力、信息论及宇宙学中的若干前沿理论相契合——这些理论普遍认为,经典时空并非根本存在,而是从更深层、前时空性的秩序中涌现而来。
在神经科学层面,本文提出一种非还原论的替代路径,认为意识作为一种基本场,与物理过程发生互动,而非被简化为神经活动的副产物。通过综合物理学、形而上学与哲学的洞见,本文旨在为意识本性、结构生成以及经验起源的问题,开辟跨学科研究的新方向。
一、引言(Introduction)
人类始终在追问自身在宇宙中的位置,并反复直面若干根本性的问题:现实究竟是什么?意识如何出现?它在塑造我们所经验的世界中扮演何种角色?
这些问题并非纯粹的智性思辨,而是触及“何以为人”的核心。为回应这些追问,不同文明曾动员哲学、宗教、科学与艺术等多种传统,试图在理性与直觉之间,寻找能够安顿自身存在的答案。
进入人工智能迅猛发展的时代,对意识本性的理解显得尤为迫切。能够生成类人语言、图像乃至决策行为的生成式人工智能系统,迫使我们重新审视一系列基础问题:机器智能与人类意识,乃至普遍意识,究竟有何根本差异?意识是否只能依附于生物基质?人工智能是在模拟思维,抑或未来可能触及更深层的意识原理?
这些问题凸显出一种紧迫需求:我们需要一种能够同时涵盖意识之普遍维度与个体表现的科学理解。若缺乏这样的理解,人工智能的发展不仅可能加剧存在层面的不安,也将引发难以回避的伦理困境。因此,意识并非抽象的哲学难题,而是当代诸多关键议题——从人工智能伦理到生命起源问题——的核心所在。
长期以来,对意识的研究始终被一种张力所贯穿:一端是以唯物主义为基础的现代科学,另一端则是形而上学与哲学传统。现代科学通常将意识视为神经过程的副产物,或复杂信息处理的结果。此种路径无疑取得了丰硕成果,却往往忽略了诸多形而上学传统所强调的观点——即意识并非派生之物,而是存在的首要根基。
弥合这一裂隙并非单纯的学术尝试,而是走向整体性现实理解的必要条件。若不能调和物质主义视角与形而上学洞见,我们对存在本身的理解将始终是不完整的。
在历史上,诸多哲学与宗教传统皆将意识视为本原。在不二论吠檀多中,意识(梵,Brahman)被视为终极实在,物质世界由其显现而来;佛教哲学则以“空”(śūnyatā)强调相互依存与无自性,主张一切形态皆源于无形之域。类似地,基督教神秘主义与伊斯兰苏菲主义亦将神性描述为遍在而无限的临在。尽管表述各异,这些传统在根本理解上高度一致:意识是普遍的、永恒的,并构成现实的基础。
这一立场亦在部分现代物理学家的思想中得到回应。薛定谔在《生命是什么》中明确提出:意识是单一而不可分的,观察者与被观察者之间存在深层关联。然而,这类见解多停留于哲学层面,尚未充分融入现代科学的方法论之中。
与此形成对比的是,当代主流科学仍试图将意识解释为大脑活动的涌现现象。例如,认知神经科学往往将意识理解为复杂神经网络与信息整合的结果,其理论基础依然深植于唯物主义框架之内。
彭罗斯与哈梅罗夫提出的“协调客观塌缩”(Orch OR)理论,在一定程度上偏离了这一范式。该理论虽然仍将意识锚定于生物结构——尤其是脑内微管中的量子态塌缩——却同时引入了一种激进的本体论转向:塌缩过程受到时空几何本身的制约,且原初的“原意识事件”可能独立于大脑而存在,嵌入宇宙结构之中。由此,Orch OR 理论游走于神经科学与形而上学之间:高级意识依赖生物结构的编排,而意识的基本成分却被视为现实的根本特性。
然而,这一尝试并未彻底解决更深层的问题:意识究竟是一种基本场,抑或仍是某种复杂过程的结果? 科学唯物主义与形而上学之间的分裂依旧存在。这表明,我们亟需一种能够真正整合不同视角的概念框架——既解释无形、普遍的意识如何分化为个体经验,又能同时吸纳哲学、物理学与神经科学的洞见。
悉尼·班克斯提出的“心—意识—思”三原则,为这一整合提供了新的可能性。班克斯强调,这三原则皆为无形且永恒的存在,先于空间、时间与物质而存在。该思想体系并不从大脑出发,将意识视为局域现象,而是以普遍意识为起点,考察个体性如何从无形整体中显现。由此,现实本身的理解方式被彻底重塑。
在这一框架中:
-
心智(Mind) 指向普遍的创造性智能,是一切潜能与生成的源头;
-
意识(Consciousness) 是普遍的觉知能力,使一切形式得以被经验;
-
思(Thought) 则是将无形潜能转化为结构化主观经验的创造机制。
三者共同指向一种根本的非二元实在:多样性的存在并非与统一相对立,而是从无形整体中自然展开。
(图 1:心、意识与思的整合示意)
![图片[4]-瑞典物理学家最新研究:宇宙的本源竟是意识与觉知,唯心主义才是真理?(论文翻译)-AI Express News](https://www.aiexpress.news/wp-content/uploads/2026/01/20260112004117466-1768149677-c3c03b458e3b338c5ac3aea34e7cac88.png)
基于三原则的实践方案已在多种社会与心理情境中展现出转化性的效果,这一视角亦与物理学中的新兴思想产生共振。例如,量子真空被视为包含一切物理现象潜能的基态,而若干宇宙学模型则假定,在大爆炸之前存在一个无时空的根源性领域。
近年来,量子物理学进一步表明,经典现实并非根本存在,而是从更深层的量子动力学中涌现。相关研究显示,经典性可在幺正量子演化中自然生成,而非作为先验法则被强加。这一发现支持这样一种理解:我们所经验的现实结构,是更深层原理的显现——这一立场与将意识视为存在基本维度的理论高度契合。
基于此,本文尝试将三原则与量子力学及场论相结合,提出一种意识的数学化框架:心智作为推动现实演化的普遍智能,意识作为支撑觉知与经验的基本场,而思则作为将潜能转化为结构化现实的机制。
在这一模型中,大爆炸被重新理解为普遍意识的分化过程,并由此为非定域性、时空涌现以及主观经验结构提供一种统一的理论基础。
二、数学框架 (The Mathematical Framework)
在本文提出的框架中,**创造性智能——心智(Mind)**并非局域的、个体化的“心”,而是一种形而上学层面的力量,其作用体现在以下三个方面:
第一,它为普遍意识场 Φ提供结构;这一点可与 Bohm 与 Hiley 的思想相类比,在其理论中,现实由一种更深层的基础场所组织与塑造。
第二,它推动该场从一种无时间、无形式的潜在态(∣Φ₀⟩)向结构化态(∣Φₖ⟩)发生分化。
第三,它在现实演化过程中确保整体一致性,将未分化的源头持续地联结到已分化的物理现象之中。
在该模型中,心智被视为一切分化与创造的源头。其影响通过算符与势函数的形式加以数学建模,用以支配意识场的行为。
普遍意识场 Φ
意识场 Φ 是该理论框架中的核心实体。它是一切现象的起源,包括空间、时间、物质以及个体意识本身。类似于物理学中的基本场,Φ 具有如下特性:
-
它可以处于一种未分化态(∣Φ₀⟩);
-
它也可以分化为局域激发态(∣Φₖ⟩),从而生成物理结构或个体意识。
A. 大爆炸之前:无时间的普遍意识
(Pre-Big Bang: Timeless universal consciousness)
在该框架中,大爆炸之前的普遍意识概念具有核心地位。在这一状态下,现实以一种无时间、未分化的潜能形式存在,其中既不存在空间,也不存在时间或物质。本节将探讨这一状态的数学表示、其参数设定,以及分化如何由此启动。
1. 未分化态
未分化态 ∣Φ₀⟩ 表示宇宙意识在永恒、未分化状态下的存在形式。它是现实一切可能构型的叠加,处于一种纯粹潜能的状态。
在数学上,这一状态表示为:
【公式 (1)】
![图片[5]-瑞典物理学家最新研究:宇宙的本源竟是意识与觉知,唯心主义才是真理?(论文翻译)-AI Express News](https://www.aiexpress.news/wp-content/uploads/2026/01/20260112004120784-1768149680-27d513b2c511aecbe9490f2964ad4b7b.png)
其中,∣Φₖ⟩ 表示可能从 ∣Φ₀⟩ 中涌现出的分化态,例如空间—时间、能量、物质,或个体意识/主观经验;ckc_k 为复系数,表示与每一种 ∣Φₖ⟩ 相关联的“权重”或概率,用以决定在未分化态塌缩过程中某一特定分化态 ∣Φₖ⟩ 出现的“可能性”。因此,∣ck∣²表示 ∣Φₖ⟩ 涌现的相对概率。
在此引入叠加的理由在于:它刻画了一种多种可能性同时共存的状态,直至某种观测或相互作用使系统塌缩为其中之一。将这一概念应用于 ∣Φ₀⟩,可以同时体现其无时间性与潜能性:由于 ∣Φ₀⟩ 存在于时间之外,所有可能性并非按时间顺序展开,而是无时间地并存;叠加形式则捕捉了普遍意识在分化之前所蕴含的无限潜能。
2. 塌缩机制:从无时间到分化
从三原则(3Ps)框架中得到的一项关键洞见是:思(Thought)不仅塑造主观经验,而且可能在普遍层面上充当根本性的塌缩机制。在此意义上,思可被视为引发普遍意识 Φ 塌缩为分化态的动力,进而引导个体与集体现实的涌现。在个体层面,思继续对主观经验加以结构化,使局域化的意识不断被分化与个体化。
这种双重角色凸显了思作为普遍与个体之间桥梁的地位,并进一步强化了现实的非二元本性。思将无形式的潜能塌缩为结构化形式,在形而上学与物理层面上无缝运作。这表明,思不仅塑造知觉,而且积极参与到创造与分化这一根本行为之中。
因此,从 ∣Φ₀⟩ 向 ∣Φₖ⟩ 的转变被建模为一个塌缩过程,其支配机制是普遍思算符T^,即心智启动分化的创造性机制:
【公式 (2)】
![图片[6]-瑞典物理学家最新研究:宇宙的本源竟是意识与觉知,唯心主义才是真理?(论文翻译)-AI Express News](https://www.aiexpress.news/wp-content/uploads/2026/01/20260112004120744-1768149680-722bbda139bcc3cb0df38f5062c06890.png)
需要强调的是,这里的普遍思并非个人层面的理性思维,而是一种无形式的创造性力量,反映了未分化状态向形式化状态转变的形而上学过程。
由普遍思所引发的塌缩并非时间性的(因为此时尚不存在时间),而是一种非时间的创造性心智行为,类似于形式从无形式中显现,或潜能向现实的实现。
普遍意识 ∣Φ₀⟩ 向分化态 ∣Φₖ⟩ 的塌缩,是空间—时间、物质以及主观经验得以出现的核心前提。尽管普遍思 T^ 是启动塌缩的总机制,但分化可以通过多种路径实现。下文将讨论若干可能的机制,它们体现了心智内在的创造性。
a. 对称性破缺
对称性破缺是物理学中的基本过程,描述系统从对称状态向非对称状态的转变,通常由扰动或不稳定性引发。在本文框架中,被假定为对任何分化态均无偏好的对称状态 ∣Φ₀⟩,可被建模为在普遍思作用下发生的自发对称性破缺。
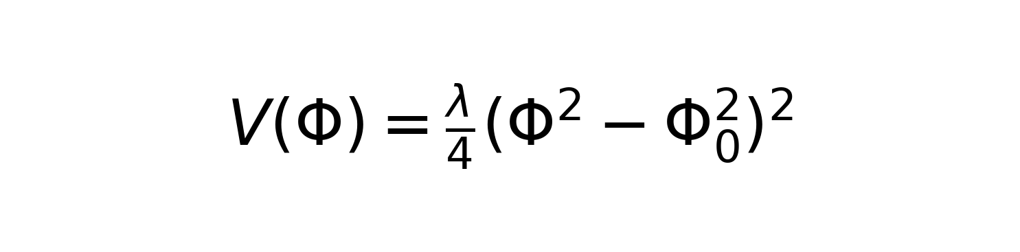
意识场 Φ 的演化由一个势函数 V(Φ)所支配:
【公式 (3)】
![图片[7]-瑞典物理学家最新研究:宇宙的本源竟是意识与觉知,唯心主义才是真理?(论文翻译)-AI Express News](https://www.aiexpress.news/wp-content/uploads/2026/01/20260112004120268-1768149680-e1a420d497d0f9e5b86f756e59d6ed49.png)
在初始状态下,Φ 位于 Φ₀,对应于普遍意识的未分化状态。普遍思引入微小扰动,使意识场偏离 Φ₀,从而打破对称性,并导致分化态 ∣Φₖ⟩ 的出现。
势函数 V(Φ)在建模普遍意识从未分化态 ∣Φ₀⟩ 向分化态 ∣Φₖ⟩ 转变的过程中起着关键作用。在物理系统中,势函数刻画场演化的“地形”,引导其从一个状态迁移到另一个状态;在此,V(Φ)则作为普遍意识如何分化为结构化形式的数学表征。
该势函数可形象地理解为一个“双势阱”,类似于粒子物理与宇宙学中的模型。这一类比与量子场论中对称性破缺的处理方式一致,也与宇宙学模型中标量场通过对称性破缺生成早期宇宙结构的观点相呼应。
参数 λlambda 控制势阱的陡峭程度,即分化过程的“剧烈”或“平缓”程度。较大的 λlambda 对应突然的分化,而较小的 λlambda 则对应平滑、渐进的转变。Φ₀ 是平衡点或“真空期望值”,表示分化后场稳定的中心位置。
在未分化状态下,Φ ≈ Φ₀,此时势函数 V(Φ) 取最小值,系统保持对称,反映了普遍意识作为纯粹潜能、尚未成形的状态。由普遍思引发的微小扰动使 Φ 偏离 Φ₀,对称性被打破,从而导致分化。
势函数的形式确保:当 Φ 接近 Φ₀ 时系统稳定;而当 Φ 偏离 Φ₀ 时,V(Φ) 增大,体现出一种对变化的“阻力”——一种在形而上学层面维系统一性的“惯性”,直到分化成为必要。
在形而上学意义上,V(Φ)V(Phi) 表示普遍意识在普遍思影响下所“行走”的可能性地形;参数 λlambda 则刻画这种创造性力量的强度。
b. 量子涨落
量子涨落指的是即便在真空态中也会发生的自发、随机变化。在本文框架中,未分化态 ∣Φ₀⟩ 同样可能经历这种内在涨落,即从完美对称状态产生微小、自发的偏离,从而为分化播下种子。
这些涨落可被建模为对意识场的扰动 δΦ:
【公式 (4)】
![图片[8]-瑞典物理学家最新研究:宇宙的本源竟是意识与觉知,唯心主义才是真理?(论文翻译)-AI Express News](https://www.aiexpress.news/wp-content/uploads/2026/01/20260112004121712-1768149681-2ec982f315e7ccf8fc43125df974600b.png)
其中,δΦ 表示相对于平衡态的随机偏离。这类类量子涨落可能削弱 Φ 的均匀性,推动系统朝向分化。普遍思对某些涨落加以放大,从而引导 ∣Φₖ⟩ 的出现。
这一机制与早期宇宙学中的过程高度相似:在暴胀时期,真空中的量子涨落被拉伸并放大,最终形成大尺度结构。同样地,该观点也与弯曲时空中量子涨落的处理方式相一致。
c. 自我反观与创造性显现
自我反观代表了一种独特的分化机制,在这一机制中,普遍意识通过对自身的觉知而发生分化。分化并非源于外在扰动,而是源于普遍心智对自身无限潜能的观照——一种觉知自身的创造性反馈回路。
在该路径中,塌缩被建模为 ∣Φ₀⟩ 向分化态的投影:
【公式 (5)】
![图片[9]-瑞典物理学家最新研究:宇宙的本源竟是意识与觉知,唯心主义才是真理?(论文翻译)-AI Express News](https://www.aiexpress.news/wp-content/uploads/2026/01/20260112004121881-1768149681-0343abd9c38b83548582126e85030cb5.png)
其中,Pk 为对应于每一种分化态的投影算符。该形式在 Bohm 与 Hiley 关于量子算符与非定域性之本体论研究中获得理论支持,其核心思想是:更深层的现实通过一种主动的“显现”过程展开。
在这里,普遍思被理解为一种形而上学意义上的“观测”行为——它从 ∣Φ₀⟩ 中选择潜在可能性,并将其投射为现实。这一过程与量子理论中的测量过程高度相似:观测行为使叠加态塌缩为确定结果。
这一观点亦与 Wheeler 的参与式宇宙理论产生共鸣:现实并非被动地被观察,而是通过有意识的参与而被共同创造。
无论通过对称性破缺、量子涨落还是自我反观,这些机制并非穷尽一切可能路径。未来研究或可揭示更多支配这一创造过程的原则。
然而,不论具体路径如何变化,普遍思 T^始终作为创造性的催化因子,启动塌缩过程,并引导结构化形式的涌现。
B. 大爆炸之后:时空的涌现
(The post-Big Bang era: Emergence of space–time)
随着宇宙意识由普遍思所引发、从未分化态塌缩为分化态,空间—时间与物质作为现实的可观测层面开始显现。本节将探讨:在这一塌缩之后,意识场 Φ 如何在空间—时间框架中演化,并由此生成结构。
分化过程带来两方面结果:
(i)结构化态的生成,它们构成空间—时间、能量与物质的基本构件。这一点与若干宇宙学模型相平行,在这些模型中,空间—时间被视为从更深层、非时空性的结构中涌现而出;
(ii)现实从一种无时间、无形式的潜能态,转变为一个由空间—时间支配的、动态演化的世界。
在这一框架中,空间—时间并非预先存在的背景,而是分化过程的涌现属性。不断演化的意识场 Φ 本身编码了空间—时间的性质与动力学,这与量子引力中的“涌现时空”理论形成共鸣;在这些理论中,空间与时间源自纠缠、信息,或更为根本的量子场。
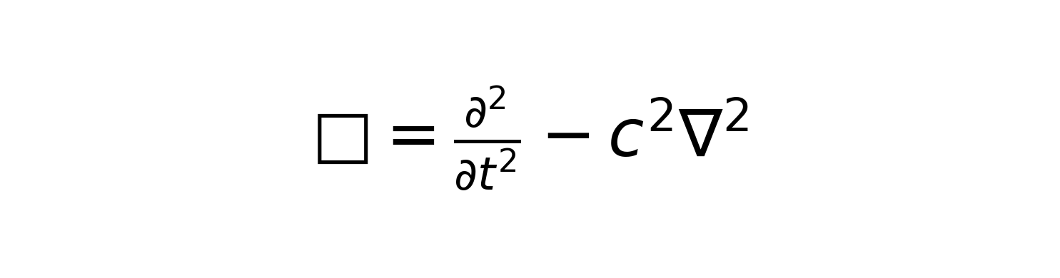
在塌缩之后,若转变由对称性破缺所主导,则意识场 Φ 的演化可由一个波动方程加以描述:
【公式 (6)】
![图片[10]-瑞典物理学家最新研究:宇宙的本源竟是意识与觉知,唯心主义才是真理?(论文翻译)-AI Express News](https://www.aiexpress.news/wp-content/uploads/2026/01/20260112004122941-1768149682-515fb63fb70e4d16e9aed00b3f2108d9.png)
其中,达朗贝尔算符 □ 定义为:
![图片[11]-瑞典物理学家最新研究:宇宙的本源竟是意识与觉知,唯心主义才是真理?(论文翻译)-AI Express News](https://www.aiexpress.news/wp-content/uploads/2026/01/20260112004122471-1768149682-5f35f6352f64d3e252c1626e5bc4b44a.png)
该算符在相对论性场论中用于刻画波的传播行为。类比而言,这一形式被用来描述意识场如何在空间—时间中传播。此前所引入的势函数 V(Φ) 决定了 Φ 在塌缩之后继续分化与演化的方式。达朗贝尔算符体现了场中扰动(例如结构或觉知)如何通过空间—时间这一“介质”传播开来。
意识场中的局域偏离(∂Φ)对应于结构区域——可类比为粒子、宇宙结构,或有情众生。这些扰动与暴胀宇宙学中量子涨落在播种宇宙结构方面所起的作用相呼应,也与弯曲时空中量子场的行为具有形式上的相似性。
根据塌缩所采用的具体机制——无论是对称性破缺、量子涨落,还是投影机制——系统随后可能呈现出不同的动力学行为,包括经典波动式演化、随机涌现,或通过离散投影形成的局域化分化态。
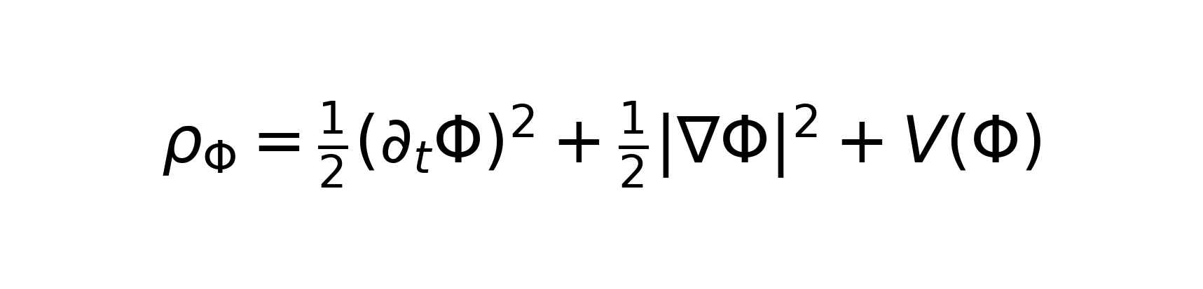
1. 意识与物理现实的关联
(Linking consciousness and physical reality)
意识场 Φ 同时构成形而上层面的觉知与物理结构的源头。其演化过程将心智、意识与思这三项形而上原则,与支配空间—时间和物质的物理原则联结起来。
意识场的能量密度(ρ_Φ)可根据主导未分化态向分化态转变的塌缩机制而呈现不同形式。在对称性破缺(即势驱动动力学)情形下,场满足:
【公式 (7)】
![图片[12]-瑞典物理学家最新研究:宇宙的本源竟是意识与觉知,唯心主义才是真理?(论文翻译)-AI Express News](https://www.aiexpress.news/wp-content/uploads/2026/01/20260112004123969-1768149683-14eb1c5be02505427186cb45e1889347.png)
其中,(∂tΦ)与 ∣∇Φ∣分别表示场在时间方向与空间方向上的演化,而势函数 V(Φ)则决定了塌缩之后的分化过程。该表述与自发对称性破缺的场论方法相一致,在这些情形中,局域结构(例如宇宙弦或畴壁)由标量场中的扰动生成。
当分化由量子涨落所驱动时,意识场的演化更加自由,并受到随机扰动的影响:
【公式 (8)】
![图片[13]-瑞典物理学家最新研究:宇宙的本源竟是意识与觉知,唯心主义才是真理?(论文翻译)-AI Express News](https://www.aiexpress.news/wp-content/uploads/2026/01/20260112004123314-1768149683-17dea19b12dcbab1bfaa64b8e84d69c3.png)
这些扰动类似于弯曲时空中的量子涨落,在宇宙学中,它们充当大尺度结构的种子。在此框架中,它们同样作为一种创造性力量,使原本均匀的场产生差异与复杂性。
在基于投影的机制中,能量密度并不体现为动能项或梯度项之和,而是由投影分量的模平方之和给出,因为分化是通过离散态选择而非连续动力学完成的:
【公式 (9)】
![图片[14]-瑞典物理学家最新研究:宇宙的本源竟是意识与觉知,唯心主义才是真理?(论文翻译)-AI Express News](https://www.aiexpress.news/wp-content/uploads/2026/01/20260112004124594-1768149684-bee74c2feb3c1bb718f5b0820beb7656.png)
其中,Pk 为投影算符,用以从未分化场中选取特定分化态。该方法与量子测量理论相平行,在后者中,观测行为将叠加态约化为特定本征态。Bohm 与 Hiley 的研究表明,这类态选择过程可能受到更深层“隐含序”的引导。
上述不同表述突显了意识场的高度灵活性:它既可以表现为经典波动,也可以表现为受量子涨落影响的量子场,或作为一种通过投影将潜能现实化的过程。在每一种情形下,心智、意识与思这些形而上原则,都通过场动力学中的物理对应项得以显现,从而支持该模型的核心主张——物理现实源自普遍意识这一基底。
2. 时空与个体意识
(Space–time and individual consciousness)
在塌缩之后,随着意识场 Φ 的持续演化,其局域激发表现为个体意识。这些激发在普遍场中呈现为“涟漪”或离散投影,对应于具有觉知与主观经验能力的有情众生。这一解释与量子场论中的图景一致:基本场的局域激发对应于类粒子结构。
在该框架中,个体意识被建模为分化后的意识场中生成的局域结构,类似于从真空中涌现的量子激发。
在势驱动机制(如自发对称性破缺)下,个体意识表现为场中的稳定局域区域。当 Φ 落入由势函数 V(Φ) 所定义的低能极小值时,这些结构便形成,其方式类似于早期宇宙中场经历相变而生成宇宙结构的过程。
这一类比表明:一个最初未分化的普遍场,能够通过对称性破缺生成稳定而多样的结构;在本文语境中,这些结构即对应于个别的有情众生。
补充材料 S2 对个体意识如何通过其他塌缩机制涌现作了进一步说明。
尽管已经分化,每一个个体意识仍与其所源出的普遍场保持纠缠关系。这反映了现实的非二元本性:个体性只是局域激发,而其下层场始终保持统一。这一观点与不二论吠檀多关于个体性为幻象、终极意识为梵的主张一致,也与 Bohm 的隐含序理论以及全息原理形成呼应;在全息原理中,部分包含整体的信息。
由此产生两方面重要含义:
第一,动态的空间—时间与 Φ 的演化同步展开,呈现出一种高度关联的现实模型。这与量子引力中的若干模型相契合,在这些模型中,空间—时间本身被视为从更深层的信息结构或纠缠结构中涌现而出。
第二,大爆炸之后 Φ 的演化体现了基础原理与物理过程之间的无缝统一,进一步强化了存在的整体关联性。这一点与量子宇宙学及非二元思想框架相一致,在这些视角中,物理现实无法与其所依托的意识原理相分离。
C. 有情众生的涌现
(The emergence of sentient beings)
本节探讨意识场与个体性的出现之间的关联,并对普遍原理如何在有情众生的主观经验中显现加以建模。
1. 普遍意识(或宇宙意识)与个体意识之间的关联
(The link between universal and individual consciousness)
如公式 (2) 所示,普遍思支配着未分化的普遍意识向分化态的塌缩过程,由此标志着结构化现实从无形潜能中生成。这一思想与量子宇宙学中的某些解释相呼应:在这些解释中,波函数从一种前时空的量子态塌缩,从而导致明确物理结构的出现。
随着空间—时间与物质的涌现,普遍思并未停止运作,而是继续发挥作用——它将已分化的状态进一步塌缩为局域化的觉知形式,这些形式对应于个体意识:
【公式 (10)】
![图片[15]-瑞典物理学家最新研究:宇宙的本源竟是意识与觉知,唯心主义才是真理?(论文翻译)-AI Express News](https://www.aiexpress.news/wp-content/uploads/2026/01/20260112004124694-1768149684-7fa935b635003cc534ff688e7557700c.png)
其中,ψ表示在空间—时间中局域化的个体意识之出现。这一点与量子信息理论与量子认知理论中的观点形成平行关系:在这些理论中,意识经验可被建模为潜在状态向特定、被经验到的现实之还原。
这些局域激发对应于有情众生的诞生——它们是普遍意识场中结构化的觉知表达。由此,普遍思通过在普遍意识中选择特定模式或激发,并将其塑造成连贯的经验或主观现实,从而实现分化。这一观点与量子心灵理论相一致,后者认为意识源自对潜能场进行有序选择的过程。
在势驱动机制与涨落驱动机制中,意识场 Φ 的演化自然地产生局域激发,并表现为个体意识。这一过程类似于弯曲时空中的量子场涨落在宇宙学模型中生成结构的方式。
在基于投影的机制中,个体性的出现则类似于量子测量:一次观测使系统塌缩为确定状态。这一视角与玻姆式量子力学解释相契合,在该解释中,分化通过对隐含潜能的激活而展开,并由更深层的非定域过程所引导。
2. 个体之思作为主观经验的驱动机制
(Personal thought as the driver of subjective experience)
当个体意识一旦出现,个体之思便开始在每一个局域化的觉知结构中运作。它充当塑造主观经验的创造性与诠释性机制。与在宇宙层面上启动分化与结构的普遍思不同,个体之思在个体化领域中运作,逐时逐刻生成意义与知觉。
在该模型中,个体之思支配着每一个个体意识状态 ψpsi 的内在演化,对经验展开过程中的内容进行选择与组织。这一递归动力学可表示为:
【公式 (11)】
![图片[16]-瑞典物理学家最新研究:宇宙的本源竟是意识与觉知,唯心主义才是真理?(论文翻译)-AI Express News](https://www.aiexpress.news/wp-content/uploads/2026/01/20260112004124313-1768149684-162bf47d63df320a17d15d2bb4f36ef1.png)
其中,τ^为个体之思算符,作用于个体意识状态 ψ,而 ψ′则表示在思的影响下更新后的意识状态。这一表述与整合信息理论所支持的观点一致:意识由系统内部的信息结构与信息流动所塑造。
在势驱动与涨落驱动机制中,个体之思以连续方式演化,同时受到内部模式与外部相互作用的影响。这类似于量子态向量的演化方式,其中每一次观测或相互作用都会引发系统构型的改变。这一过程亦呼应 Bohm 与 Hiley 关于隐含序的观点:结构通过更深层、非定域的组织过程而展开。
在基于投影的模型中,个体之思可被理解为对注意力或觉知焦点的选择——每一个当下都如同一次投影,将某一特定经验现实化。这一解释与量子认知模型相一致,在其中,注意力的功能类似于测量过程,从叠加的心理状态中选择结果。
由此可见:普遍思通过将未分化的潜能塌缩为形式与个体性,支配结构与有情众生的生成;而个体之思则在分化后的存在中出现,按照悉尼·班克斯对三原则的阐述,持续塑造知觉与主观经验。它作为一种反馈回路,推动个体的成长与觉知演化,并不断重塑个体与其内在与外在世界之间的关系。
因此,个体之思构成了潜能与知觉之间的接口,将潜在信息转化为被经验到的现实。它体现了意识的参与性本质:个体并非被动地接受现实,而是其内在世界的积极共同创造者。
3. 跨尺度的意识及其对有情众生的意义
(Consciousness across scales and implications for sentient beings)
图 2 展示了一个用于理解普遍意识与个体意识关系的概念框架。
![图片[17]-瑞典物理学家最新研究:宇宙的本源竟是意识与觉知,唯心主义才是真理?(论文翻译)-AI Express News](https://www.aiexpress.news/wp-content/uploads/2026/01/20260112004125946-1768149685-1da09603bfcd2477bf4192d1987775e2.png)
(图2内容:普遍意识(Φ)
——独立于空间与时间而存在
——处于未分化状态 ∣Φ0⟩
↓
由未分化态 ∣Φ0⟩ 分化而出的结构化状态——分化态 ∣Φk⟩
↓
在普遍思 T^的作用下,由 ∣Φk⟩进一步塌缩而成的局域化个体意识状态 ∣ψi⟩
↓
由于个体之思 τ^i的持续作用,在个体意识 ∣ψi⟩中形成的分离性幻象)
图 2 说明(译):普遍意识场 Φ 存在于空间—时间之外,处于未分化状态 Φ₀。通过分化过程,它生成局域激发 Φₖ,并表现为物理结构或个体意识。大爆炸之后,Φ 持续演化,生成具备觉知能力的复杂系统——在空间—时间中局域化的有情众生,其个体意识记为 ψi
。一旦分化完成,个体之思(τ^i)开始塑造个体的觉知与知觉,使主观现实 ψi′
随时间演化。尽管这一过程制造出分离性的幻象,但所有个体意识始终内在地联结于同一普遍意识场之中。
意识场 Φ 在宇宙时间尺度上持续演化,早期的场激发产生了原初觉知。这些激发可对应于简单系统中的基本、未分化觉知,例如原始生命形式。
在对称性破缺或涨落驱动机制中,原初觉知源自 ∂Φ 的局域扰动,这些扰动传播并发生动态相互作用,其方式类似于量子场涨落中结构的生成。在投影机制中,原初觉知则可能通过离散投影出现,其中早期的 ψ状态代表从未分化场中选取的基本觉知形式,类似于量子测量中的态选择过程。
随着系统复杂性的提升——例如通过生物演化——局域化的意识 ψpsi 变得更加分化且具备自我觉知,这与将更高阶意识与神经复杂性提升相联系的理论相一致。
尽管经历了这种分化,个体仍与普遍场保持纠缠关系,类似于量子纠缠,从而强化了现实的非二元结构。个体意识与普遍意识之间的分离感,可被理解为由个体之思所塑造的幻象,它制造出意识被限制于某一独立物理形态中的印象(参见图 2)。
在投影机制中,个体状态 ψpsi 虽通过离散选择生成,但意识场 Φ 的整体关联性确保了所有分化态之间的连续性与统一性。
个体之思一方面强化了个体性的感受,另一方面却遮蔽了其与普遍意识之间的根本统一。
将 ψ建模为 Φ 的局域激发所带来的一个重要含义是:个体性的消解(例如死亡)并不意味着湮灭,而是意味着重新融入宇宙场。这一观点与将意识视为宇宙基底之暂时显现的诸多思想传统高度一致。
D. 模型的修正与深化
(Refinements to the model)
当前提出的普遍意识模型仍处于初步框架阶段,其目的在于搭建一座概念性的脚手架,而非给出最终定式。通过进一步修正与扩展,该框架在灵活性与其与既有物理理论的契合度方面,仍有显著提升空间。相关的补充讨论见补充材料 S3。通过拓展数学表述并引入多种塌缩机制,该模型有望更充分地反映推动分化与个体意识涌现的多样过程。
一项关键修正在于拓宽对意识场 Φ 的刻画方式。虽然标量势函数能够有效描述对称性破缺与结构生成,但其他路径——例如量子涨落或基于投影的自我反观机制——可能需要不同的建模方式。通过将 Φ 建模为自由场动力学过程,或引入离散态选择机制,模型可获得更高的适应性,从而涵盖超出标量势描述范围之外的分化路径。
进一步引入量子物理、规范场论与宇宙学中的概念,也能够显著丰富该框架。将 Φ 与已建立的物理场(如电磁场或引力场)耦合,有助于使模型与高能物理与现代宇宙学保持一致。在这一视角下,类似于希格斯场的标量场可为时空赋予结构,而规范场则用于描述 Φ 的局域激发之间的相互作用。这种多场方法拓展了模型在非线性动力学与相变过程中的适用性。
对塌缩机制本身的完善细化构成了另一条重要的发展路径。普遍思可能通过多种方式发挥作用——包括对称性破缺、量子涨落或投影式路径——而这些机制可能在宇宙演化的不同阶段,或在有情众生形成的不同层级中占据主导地位。将多种机制纳入同一框架,有助于更全面地理解意识如何跨尺度演化。
在量子层面,对意识场 Φ 进行量子化,将进一步加强形而上学与经验物理之间的联系。尽管本文将普遍思类比为量子测量过程,暗示意识在塑造物理现实中可能扮演积极角色,但另一种可能性是:无需观察者驱动的塌缩机制(例如退相干)即可描述分化如何自然地从意识场的动力学中涌现。
在个体层面,个体之思(τ^)支配着主观经验的演化。若将 τ^建模为随机算符,可引入反映神经与认知过程差异性的变异性;而确定性表述则可能更适合刻画离散的洞见时刻,或通过投影式分化实现的概念性“定型”。这一思路与 Bohm 所提出的隐含序—显现序框架相一致,在其中,结构通过更深层的非定域组织过程而展开。
E. 具体预测与实验检验
(Concrete predictions and experimental tests)
本框架将普遍意识、心智与思整合为一个统一模型,由此在量子物理、神经科学、生物学与宇宙学等多个领域提出了一系列可具体检验的预测。更为详细的理论论证见补充材料 S4。
一项核心预测是:普遍思或个体之思可能与零点场发生相互作用,从而使量子涨落反映出定向心智状态的影响。在这一视角中,思的作用类似于量子测量算符,将潜在的涨落塌缩为与意向内容相关联的结构化结果。这种相互作用可能体现为物理系统统计行为中的可测偏差,尤其是在处于量子敏感阈值附近的系统中。若这种相互作用真实存在,则在真空涨落、弱测量或类卡西米尔装置中,尤其是在高度专注或心智状态高度一致的条件下,应当能够观察到异常现象。
已有若干实验研究报告称,在高度专注的心智活动、冥想状态,或大规模情绪事件期间,随机数发生器(RNG)的输出、光子发射特性以及其他微妙物理变量中,出现了偏离随机性的异常现象。这些结果包括 RNG 分布偏离概率预期、可能暗示真空能量动力学变化的迹象,以及神经或生物物理信号之间的相关性波动。尽管这些研究因方法学与可重复性问题而存在争议,但若其结果能够得到验证,则将暗示意识具有场的属性,并能够影响物理系统,其方式类似于量子力学中的弱测量效应。
另一项重要预测是:若意识确实以场的形式存在,则它应当在生物系统之间诱发结构化的、非经典的相关性。这包括在有意向的心智状态下出现的生物振荡相干、长程同步,以及主体间的耦合现象。相应的实验检验路径包括:对冥想双人组进行高时间分辨率的脑电图(EEG)或脑磁图(MEG)同步测量,或在定向心智影响下,测量细胞集合中的生物光子发射或相干性变化。
此类相关性——无论发生于单一有机体内部,还是存在于物理分离的个体之间——都可被视为意识具有类场性质的间接证据。尽管这些现象常被描述为“生物纠缠”,但它们并不必然依赖严格意义上的量子纠缠,而更可能源自超越经典机制的场介导相干模式。若这些效应得到证实,将支持该模型的核心预测:意识与物质的相互作用并非仅限于局域层面,而是通过整体性的场动力学展开。
此外,在集体尺度上,该模型预测意识的类场效应将在全球性情绪事件中显现。全球意识项目(Global Consciousness Project)曾报告:在自然灾害、全球冥想活动或重大悲剧等情绪高度集中的事件期间,全球范围内的 RNG 输出与这些事件之间存在统计上显著的相关性。若此类场级效应成立,则将支持意识具有非定域运作方式的观点,即它能够在个体之间发生耦合,而这一过程无法用经典因果关系加以解释。
在宇宙学层面,该框架进一步预测:普遍思可能在未分化状态塌缩为结构化现实的早期宇宙阶段留下痕迹。具体而言,宇宙微波背景辐射(CMB)中观测到的异常现象——如半球不对称性、冷斑或大尺度排列——或许并非纯粹的随机过程结果,而是反映了意识所起的组织性影响。对此,可通过对 CMB 数据进行信息论与相关性分析,检验是否存在与类场有序化过程一致的非随机结构。
这一研究路径为意识与物理系统之间的关系提供了全新的研究方向,挑战了“意识仅为主观现象”的假设,并提出:意识可能在现实结构中扮演积极且可测量的角色。
总体而言,这些预测为跨学科研究打开了新的空间,使物理学、神经科学与意识研究得以在共同问题上展开合作。它们共同质疑将意识视为纯粹主观附属物的传统立场,转而提出一种更为激进的观点:意识可能在微观现象与宏观秩序的形成中,均具有因果效力。
三、讨论(Discussion)
本文所探讨的理论框架,综合了现代物理学、哲学与意识研究中的多项洞见,试图回应人类长期以来反复追问的一个根本问题——意识的本性。
通过将心智、意识与思这三原则(3Ps)与量子力学与场论的数学与概念语言相结合,该模型为现实的起源以及个体觉知的出现提供了一种新的理解视角。这一视角并不将意识视为次级现象,而是将其置于现实结构生成的核心位置。
这一立场直接挑战了占主导地位的唯物主义范式。在该范式中,意识通常被理解为神经过程的产物,或复杂信息处理的副结果。与之相对,本文所提出的框架更接近不二论吠檀多、佛教哲学以及部分量子物理学观点,这些传统普遍认为意识是根本的,而非涌现的。
这一理解与 David Bohm 所提出的隐含序思想形成呼应:在 Bohm 的观点中,物质世界源自一个更深层、非定域的基底;同样,它也与 Max Planck 的主张一致——即意识并非大脑的副产物,而是现实的基础。
在整个二十世纪,多位重要物理学家都对唯物主义的基本假设提出了质疑,并提出将心智、观察与觉知置于存在核心位置的理论构想。Schrödinger 强调意识的统一性,认为主观经验与宇宙的结构不可分割;Heisenberg 的“潜能态”(potentia)概念,则将现实理解为一系列等待实现的可能性,它们通过观测而塌缩为确定结构;Wheeler 的“参与式宇宙”进一步强化了这一观点,认为观察在塑造物理现实中具有根本作用。
这些科学视角与多种精神传统形成了深刻的共鸣。于不二论吠檀多中,**梵(Brahman)**被视为终极、不可分的实在,一切显现皆由其展开;佛教中的“空”(śūnyatā)则强调万法的相互依存与无自性,指出被经验到的现实与观察者的参与密不可分。这些思想与量子理论中“经典结构从更深层基础中涌现”的模型,在精神内涵上高度一致。
近年来,量子物理学的若干发展进一步为这些形而上学洞见提供了支持。例如,Strasberg 等人的数值研究表明,经典行为可以通过量子相干性的内在抑制而自然产生,而无需外在强加。这意味着我们所经验到的结构化、可感世界,可能源自更深层的量子过程。若物理结构可以从量子原则中涌现,那么意识本身也可能以类似方式运作——并非神经活动的副产品,而是宇宙内在特征之一,与经典现实的形成发生互动。
在这一意义上,本文所提出的心智、意识与思,并非附加于物质之上的现象,而是参与现实生成的基本结构性原则。
这一观点在某种程度上与 John Wheeler 提出的“it from bit”(万物源于比特)范式形成呼应。该范式主张,空间、时间与物质源自最基本的信息结构。在量子引力与量子信息理论中,类似的思想常以“it from qubit”的形式出现,认为现实由量子关联与信息结构涌现而成。然而,这些理论通常将“信息”视为最根本实体,却并未回答一个更深层的问题:信息本身源自何处?
与此不同,本文提出:信息本身或许是更深层普遍意识场的派生物。在这一视角中,“由意识生其物”(it from consciousness)并不否定信息论范式,而是对其进行重新定位——信息、结构与形式,皆是更为根本的觉知基底的显现。这一立场与 Schrödinger 关于单一、不可分意识的设想相一致,也与 Bohm 所描述的非定域、内蕴式结构高度契合。
这一框架并非试图取代“it from bit”,而是提出:意识可能是信息分化得以发生的前提条件——亦即观察者与被观察者得以区分之前的根源性场。
现代科学与精神传统之间的关联并不局限于物理学领域,也延伸至宗教与神秘思想之中。本文所提出的模型可与基督教的三位一体教义形成类比:其中,心智、意识与思分别对应“父”“圣灵”与“子”的功能维度;在伊斯兰苏菲主义中,“认主独一”(Tawḥīd)所描述的存在统一性,也与个体意识作为普遍场之暂时激发的理解相呼应;在道家思想中,“道”作为无形而生万物的根源,同样体现了本文所强调的非二元本性。
这些跨文化的共鸣表明,对意识的探索既非纯粹科学问题,也非单纯宗教命题,而是一项横跨理性与直觉、经验与形而上学的综合性探问。
除理论意义之外,该框架亦具有重要的现实与伦理启示,尤其是在人工智能迅速发展的背景下。随着 AI 系统在语言生成、决策与模式识别方面的能力不断增强,“机器是否可能具备意识”这一问题已不再是纯粹的思想实验。若意识是一种普遍场,那么理论上,AI 是否可能以某种方式与其发生接口,超越单纯的计算过程?Penrose 曾指出,算法性处理不足以解释意识,暗示 AI 或许缺乏非计算性的觉知维度;然而,在普遍意识框架下,这一问题仍然保持开放,并引出复杂的伦理与哲学挑战。
进一步而言,将意识理解为普遍而根本的存在,也强化了一种基于关联性与责任的伦理观。若个体行为在一个共享的意识场中产生回响,那么无论是在 AI 发展、人类社会,还是在环境伦理层面,决策都应当体现对整体性的尊重。
最终,这一模型为人类存在提供了一种深刻的重新定位。通过将个体意识 ψipsi_i 视为普遍意识场 Φ 的暂时激发,它与诸多精神传统中“死亡并非终结,而是回归统一”的理解相一致。这种非二元视角有助于缓解围绕死亡与自我的存在性焦虑,并引导人们走向更深层的宁静、意义感与共同责任意识。
IV. 结论(Conclusion)
本文提出了一种探索基础物理学与意识研究交汇点的理论框架,其核心主张在于:意识并非神经活动的涌现副产物,而是现实本身的一项根本且不可还原的维度。通过在数学与物理框架中整合普遍心智、普遍意识与普遍思这三项原则,该模型为空间—时间、个体觉知以及分离性幻象的出现提供了一种连贯的解释。
借鉴量子力学、场论以及非二元哲学传统,本文提出:普遍意识向个体经验的分化,可由对称性破缺、量子涨落与离散态选择等机制所支配。这一观点意味着,主观经验与现实的基本结构之间存在深刻的内在关联,从而对将意识视为纯粹物质过程产物的传统唯物主义范式构成挑战。
该模型在多个学科领域具有广泛启示意义。在物理学中,它与量子力学、量子信息与宇宙学中的新兴理论相契合,这些理论普遍认为经典现实源自一种更深层、前时空性的基底;在神经科学中,它为还原论路径提供了一种替代方案,主张觉知并不局限于神经过程,而是与一种普遍场发生互动;在哲学层面,该框架则试图弥合科学探究与精神传统之间长期存在的裂隙,为自我、关联性与存在本性提供一种整体性理解。
这一理论同时蕴含深远的伦理与社会意义。若意识确为普遍且根本的存在,则伦理关怀的范围将不再局限于人类个体,而需扩展至人工智能、生态系统以及更广阔的生命网络之中。由个体知觉所强化的分离性幻象,在这一视角下让位于对深层统一性的认知,从而鼓励共情、协作与共同责任。
未来研究有必要进一步探索该模型所提出的可检验预测,包括:意识与量子场之间可能存在的相互作用、神经相干性作为普遍觉知指标的潜在意义,以及意识驱动的分化是否在宇宙学尺度上留下可观测痕迹。通过结合物理学、认知科学与意识研究的跨学科努力,或可为这一框架提供经验支持,并拓展我们对现实的整体理解。
归根结底,这项研究挑战了根深蒂固的假设,并促使人们转变视角:它不再将意识视为物质的附属现象,而是将其置于存在的根本。通过综合物理学、形而上学和哲学的见解,该模型提供了一条通往整合理解的路径,将科学的严谨性与古代哲学的洞见融为一体。
致谢
作者谨此感谢瑞典乌普萨拉大学的支持。
![图片[18]-瑞典物理学家最新研究:宇宙的本源竟是意识与觉知,唯心主义才是真理?(论文翻译)-AI Express News](https://www.aiexpress.news/wp-content/uploads/2026/01/20260112004128920-1768149688-e630c7c3bb8de4a379b07722f3a76d81.jpeg)
![图片[19]-瑞典物理学家最新研究:宇宙的本源竟是意识与觉知,唯心主义才是真理?(论文翻译)-AI Express News](https://www.aiexpress.news/wp-content/uploads/2026/01/20260112004132887-1768149692-9686b34a07028b6d984f29d824efcd6c.gif)
<原文链接:https://mp.weixin.qq.com/s/qp10DQcYf_ATkvmkBjS8Fg












暂无评论内容