![图片[1]-美团发布 LongCat-Image 图像生成模型,编辑能力登顶开源SOTA-AI Express News](https://www.aiexpress.news/wp-content/uploads/2025/12/20251209151051178-1765264251-064f6d54e6ab23926c9396d0f411fcf6.jpeg)
当前 AI 图像生成技术需求旺盛,但行业陷入 “两难困境”:闭源大模型性能强劲但无法自行部署或二次定制开发,开源方案普遍存在轻量化与模型性能难以兼顾、面向商用专项能力不足的痛点,制约商业创作与技术普惠。为此,美团 LongCat 团队正式发布并开源 LongCat-Image 模型,通过高性能模型架构设计、系统性的训练策略和数据工程,以6B参数规模,成功在文生图和图像编辑的核心能力维度上逼近更大尺寸模型效果,为开发者社区与产业界提供了 “高性能、低门槛、全开放” 的全新选择。
![图片[2]-美团发布 LongCat-Image 图像生成模型,编辑能力登顶开源SOTA-AI Express News](https://www.aiexpress.news/wp-content/uploads/2025/12/20251209151051934-1765264251-e1af0636b86a54ef96e4ae70a091ffd6.jpeg)
LongCat-Image 采用文生图与图像编辑同源的架构设计,并结合渐进式学习策略,在仅 6B 的紧凑参数规模下,实现了指令遵循精准度、生图质量与文字渲染能力的高效协同提升。尤其在单图编辑的可控性和文字生成的汉字覆盖度方面独具优势。
![图片[3]-美团发布 LongCat-Image 图像生成模型,编辑能力登顶开源SOTA-AI Express News](https://www.aiexpress.news/wp-content/uploads/2025/12/20251209151051243-1765264251-f6677dafac0cf6f59011b8ba6f501861.png)
模型架构
亮点一:图像编辑高度可控
LongCat-Image 在图像编辑领域的多个重要基准测试中(如GEdit-Bench、ImgEdit-Bench)均达到开源SOTA水平,实现性能突破的背后在于一套紧密协同的训练范式和数据策略。为有效继承文生图模型的知识和美感,同时避免文生图后训练阶段收窄的状态空间对编辑指令多样性的限制,基于文生图Mid-training阶段模型进行初始化,并采用指令编辑与文生图多任务联合学习机制,深化对复杂多样化指令的理解。此外通过预训练阶段的多源数据及指令改写策略,以及SFT阶段引入人工精标数据,最终实现了指令遵循精准度、泛化性和编辑前后视觉一致性的共同提升。
风格迁移与属性编辑能力对比 结构编辑与构图编辑的能力对比![图片[4]-美团发布 LongCat-Image 图像生成模型,编辑能力登顶开源SOTA-AI Express News](https://www.aiexpress.news/wp-content/uploads/2025/12/20251209151052831-1765264252-17f1d21f85e9ef90195fd2dd54806b36.png)
![图片[5]-美团发布 LongCat-Image 图像生成模型,编辑能力登顶开源SOTA-AI Express News](https://www.aiexpress.news/wp-content/uploads/2025/12/20251209151052822-1765264252-092a80bb90d03b277c6126619f76865a.png)
![图片[6]-美团发布 LongCat-Image 图像生成模型,编辑能力登顶开源SOTA-AI Express News](https://www.aiexpress.news/wp-content/uploads/2025/12/20251209151053199-1765264253-e03cfe9bbc0ddfceec550d48c318e28d.png)
亮点二:中文文字生成精准覆盖
针对中文文本渲染这一行业痛点,LongCat-Image 通过课程学习策略来提升字符覆盖度和渲染精准度:预训练阶段基于千万量级合成数据学习字形,覆盖通用规范汉字表的8105个汉字;SFT 阶段引入真实世界文本图像数据,提升在字体、排版布局上的泛化能力;RL 阶段融入 OCR 与美学双奖励模型,进一步提升文本准确性与背景融合自然度。此外通过对 prompt 中指定渲染的文本采用字符级编码,大幅降低模型记忆负担,实现文字生成学习效率的跨越式提升。通过该项能力加持,有效支持海报设计、商业广告作图场景中复杂笔画结构汉字的渲染,以及古诗词插图、对联、门店招牌、文字Logo等设计场景的生僻字渲染。 文字生成能力对比![图片[7]-美团发布 LongCat-Image 图像生成模型,编辑能力登顶开源SOTA-AI Express News](https://www.aiexpress.news/wp-content/uploads/2025/12/20251209151056763-1765264256-155831a6c799d3bddf249d171ae91f4b.jpeg)
![图片[8]-美团发布 LongCat-Image 图像生成模型,编辑能力登顶开源SOTA-AI Express News](https://www.aiexpress.news/wp-content/uploads/2025/12/20251209151056363-1765264256-12df3555dfdc142c289385ba8599fdf0.png)
此外,LongCat-Image通过系统性的数据筛选与对抗训练框架,实现了出图纹理细节和真实感的提升。预训练和中期训练阶段严格过滤AIGC数据,避免陷入“塑料感”纹理的局部最优;在SFT阶段,所有数据均经过人工精筛来对齐大众审美;在RL阶段,创新性地引入AIGC内容检测器作为奖励模型,利用其对抗信号逆向引导模型学习真实世界的物理纹理、光影和质感。 图像生成综合能力对比![图片[9]-美团发布 LongCat-Image 图像生成模型,编辑能力登顶开源SOTA-AI Express News](https://www.aiexpress.news/wp-content/uploads/2025/12/20251209151058521-1765264258-f8fde2c6fb53800124e6f18db215f5db.png)
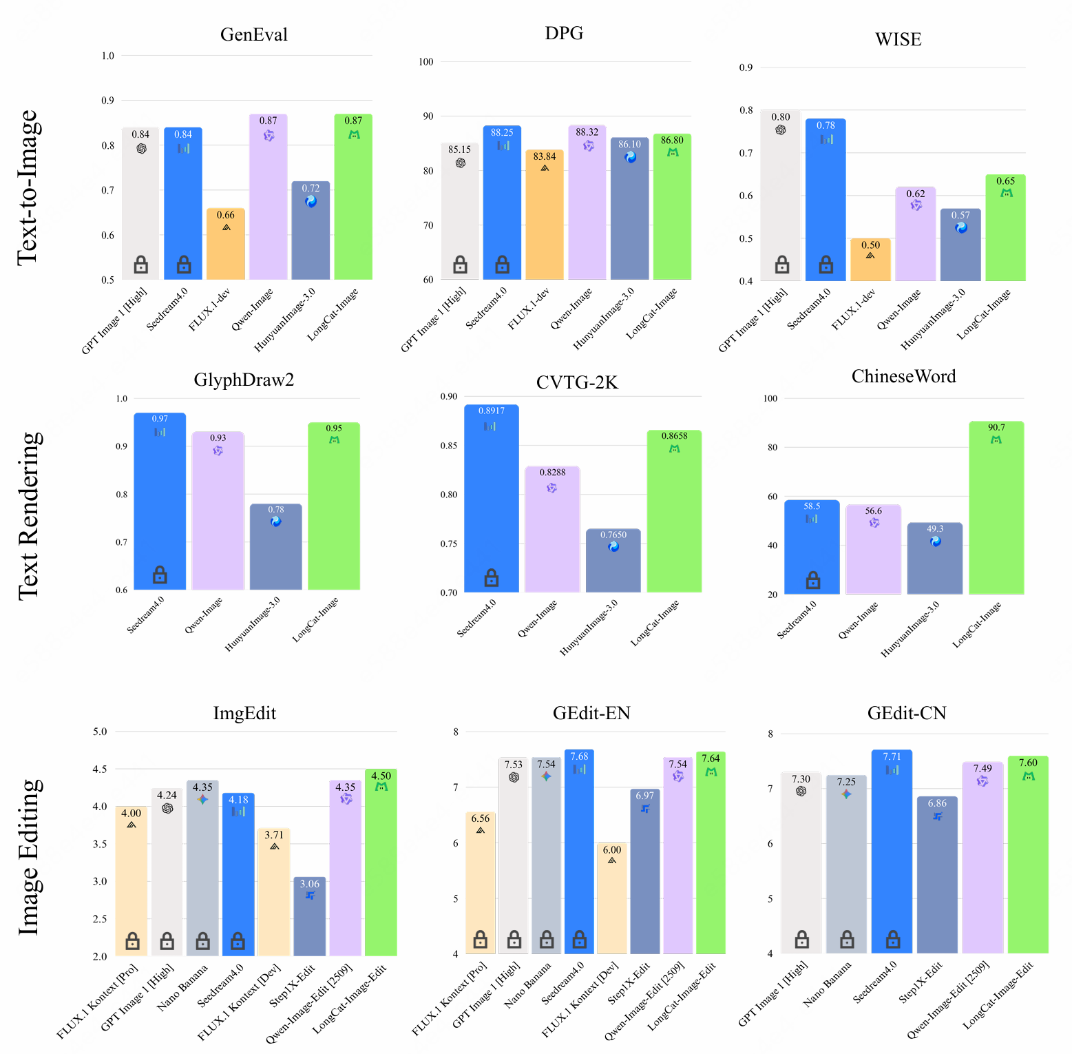
客观基准评测 客观基准测试性能对比![图片[10]-美团发布 LongCat-Image 图像生成模型,编辑能力登顶开源SOTA-AI Express News](https://www.aiexpress.news/wp-content/uploads/2025/12/20251209151059269-1765264259-ef9e4cb68f2e8c84afbc5df2b69d501e.png)
![图片[11]-美团发布 LongCat-Image 图像生成模型,编辑能力登顶开源SOTA-AI Express News](https://www.aiexpress.news/wp-content/uploads/2025/12/20251209151100496-1765264260-1c758d130d42c0899e2815a4dd32c242.png)
全面的客观基准测试充分验证了 LongCat-Image 的核心竞争力:在图像编辑任务中,ImgEdit-Bench(4.50分)、 GEdit-Bench 中英文得分(7.60/7.64分)均达到开源SOTA水平,且逼近头部闭源模型水平;在文字渲染方面,ChineseWord 评测以 90.7 分的成绩大幅领先所有参评模型,实现常用字、生僻字的全量精准覆盖;文生图任务上,GenEval 0.87 分、DPG-Bench 86.8 分的表现,使其在生图基础能力上相比头部开源与闭源模型依然具备强竞争力。
综合主观评测
在衡量模型的通用能力时,我们始终将用户的真实体验放在首位。为此,我们采用业界公认的主观评价方法,对LongCat-Image在“文生图”与“图像编辑”两大核心场景下的表现进行了系统评估。 在文生图方面采用大规模的人工主观评分(MOS)方法,核心覆盖 文本-图像对齐、视觉合理度、视觉真实度、美学质量4个维度,LongCat-Image 的真实度相比主流开闭源模型表现出色,同时在文本-图像对齐与合理度上达到开源SOTA水平。在图像编辑方面采用严格的并列对比评估(Side-by-Side, SBS)方法,聚焦于综合编辑质量、视觉一致性这两个用户体验的维度,评测结果表明,LongCat-Image 虽然与 Nano Banana、Seedream 4.0 等商业模型存在一定差距,但显著超越了其他开源方案。 人类主观评分(MOS)对比和并列对比评估胜率(SBS)![图片[12]-美团发布 LongCat-Image 图像生成模型,编辑能力登顶开源SOTA-AI Express News](https://www.aiexpress.news/wp-content/uploads/2025/12/20251209151101368-1765264261-cda42bbc19ef7d2db11a4aade60ddb55-scaled.png)
![图片[13]-美团发布 LongCat-Image 图像生成模型,编辑能力登顶开源SOTA-AI Express News](https://www.aiexpress.news/wp-content/uploads/2025/12/20251209151102397-1765264262-1d4fe55ba27f5f4332a60d1b3b404aea.png)
为了构建一个更透明、开放、协作的开源生态系统,我们全面开源文生图的多阶段模型(Mid-training、Post-training)和图像编辑模型,旨在无缝支持从前沿研究到商业应用的全流程。我们坚信,真正的技术进步源于社区的集体智慧。诚邀广大开发者体验模型、参与共建,让我们共同基于这个高效能模型,探索视觉生成的更多可能。 🔗 资源链接: Hugging Face: https://huggingface.co/meituan-longcat/LongCat-Image GitHub: https://github.com/meituan-longcat/LongCat-Image![图片[14]-美团发布 LongCat-Image 图像生成模型,编辑能力登顶开源SOTA-AI Express News](https://www.aiexpress.news/wp-content/uploads/2025/12/20251209151102915-1765264262-439a4c448190ff67165b8745dcd9fc7b.jpeg)
零门槛解锁 AI 创作新可能
LongCat APP:一键生成专业级图像
继文生图功能上线后,「LongCat APP」全新升级图生图能力!上传任意素材(风景照、自拍照、草稿线稿均可),模型将精准捕捉核心元素,按需求生成全新图像。同步上线 24 个零门槛图片玩法模板,涵盖海报设计、人像精修、场景改造等多重场景,点击 “AI 创作” 直接套用,彻底告别 “提示词焦虑”,小白也能快速产出专业级作品。
LongCat.ai:网页端高效创作入口
进入 https://longcat.ai/(阅读原文)点击「图片生成」,可上传参考图、自由调整比例、选择心仪风格,无需复杂配置即可快速获得高质量生成结果。无论是商业设计初稿、社交媒体素材,还是个性化创意创作,都能高效完成。![图片[15]-美团发布 LongCat-Image 图像生成模型,编辑能力登顶开源SOTA-AI Express News](https://www.aiexpress.news/wp-content/uploads/2025/12/20251209151104399-1765264264-6599dcc377e6a344e9fc64f7be63c182.png)
<












暂无评论内容